Loading...
65,951 articles found
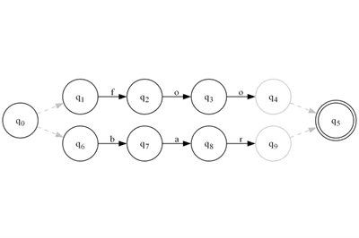
In this article, I am presenting a sorting schema, hugely inspired by the Bucket and Proxmap sorting algorithms.
1 year ago
5
What is Azure Virtual Network Encryption? Azure Virtual Network encryption provides a layer of security that encrypts virtual network traffic, specifically between Azure Virtual Machines that communicate securely within a subnet or across different subnets.
1 year ago
5
This article is a demonstration of some of the capabilities of the OpenCV library of Python.
1 year ago
5
How to implement authentication in Blazor and ASP.NET Core ?
1 year ago
5
How to validate fields for things like data entry applications.
1 year ago
5
Smart Android Template for Data Performance with International Signals Code as a Sample
1 year ago
5
Scraping the web is easy with Visual FA. Here's an example of how.
1 year ago
5
Just a simple routine and helper routine to generate unique IDs suitable for disconnected systems.
1 year ago
5
An introduction to machine learning with working C++ code that trains a linear regression model.
1 year ago
5
How to use a .props file for your custom user settings across all your projects
1 year ago
5